Abstract
Introduction:
Myelodysplastic syndromes (MDS) are a spectrum of disorders with variable degrees of cytopenias, morphological dysplasia and risk of progression to acute myeloid leukemia (AML) (Hellström-Lindberg, Tobiasson, Greenberg, Haematologica 2020). The Surveillance, Epidemiology, and End Results (SEER) cancer registry reports incidence and survival data for MDS, and since 2001 also for clinical subgroups. Since socioeconomic status (SES), including economic and educational disadvantage (EED), may impact overall survival (OS), the extent to which EED and race/ethnicity impact OS of MDS require improved analysis. Understanding the impact of EED and race/ethnicity on OS could help quantify health disparities and provide insights that inform treatment decisions. This study analyzed the impact of race/ethnicity and EED on OS in Non-Hispanic White (NHW), Non-Hispanic Black (NHB) and Hispanic patients with MDS by clinical risk category.
Methods:
A retrospective review was performed to identify all adult patients (aged ≥ 50 y) diagnosed with primary MDS in the SEER US population (~30% of US population) between January 1, 2001 and December 31, 2016. Following the World Health Organization morphologic classification, primary MDS clinical risk categories were higher risk (RAEB-1 & -2), lower risk (other defined categories), and MDS not otherwise specified (NOS). Factor analysis was used for 23 county-level SES indicators obtained from the American Community Survey via SEER for features of EED (concordance was noted between economic and educational factors). Univariable and multivariable Cox proportional hazards models were used to determine the association between prognostic factors, including age, sex, clinical risk category, race/ethnicity and EED by tertile with MDS OS. Survival was documented from the time of diagnosis to death or the last follow-up day available in the SEER registry. All analyses were two-tailed with the level of significance of ≤0.05. The statistical software used was SAS 9.3 (SAS Institute, Cary, NC) for data analyses.
Results:
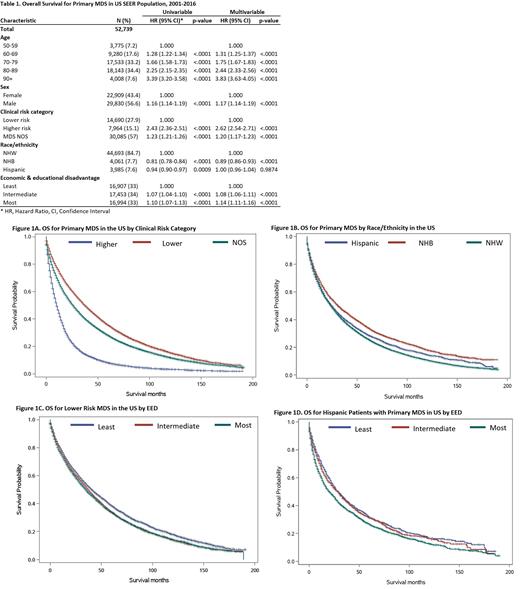
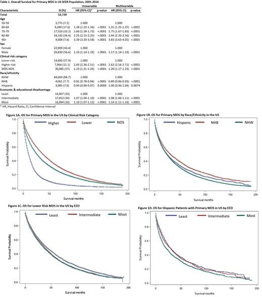
There were 52,739 patients with primary MDS identified. The most prominent SES factor extracted by factor analysis was related to EED (explaining 38% of the variance). Table 1 summarizes patient characteristics, hazard ratios (HR), 95% confidence intervals (CI) and p-values to illustrate the association between prognostic factors and MDS OS. Increased age at diagnosis, male sex, MDS higher risk category and EED were all associated with reduced OS. Multivariable results showed that patients with higher risk MDS had lower OS (HR 2.62 [2.54-2.71], p <0.001) compared to lower risk MDS (Figure 1A). NHB patients had the highest OS (HR 0.89 [0.86-0.93], p <0.001) compared to NHW (Figure1B). There was no statistically significant difference in OS for Hispanics compared to NHW. EED by tertile showed lower OS for most compared to least disadvantaged for all patients (HR 1.14 [1.11-1.17], p <0.001). More NHB and Hispanics (51 and 49%) were in the most disadvantaged category compared with NHW (30%) (p <0.001). Figure 1C demonstrates EED reduced the median OS in all patients with lower risk MDS from 41 [39-43] to 35 months [33-36] in patients with least and most disadvantage, respectively (HR 1.14 [1.08-1.19], p <0.001), although without such OS decrement for higher risk patients. Figure 1D indicates EED reduced median OS for Hispanic patients with MDS from 29 [25-33] to 20 months [18-23] for least and most disadvantage, respectively (HR 1.24 [1.13-1.36], p <0.001). Patients with higher risk MDS were more likely to expire from hematologic causes, including 25% from AML transformation and 35% from MDS complications. Patients with lower risk MDS were more likely to expire from bone marrow failure or non-hematologic causes, such as 21% from cardiovascular disease. No significant differences were noted for causes of death by race/ethnicity.
Conclusion:
For primary MDS patients, higher OS was noted in NHB compared to NHW and Hispanics. This association persisted after adjustment for age, sex, and clinical risk category. There was no statistically significant difference in OS for Hispanics compared to NHW. However, greater EED was associated with lower OS, which was most striking in patients with lower clinical risk MDS and those of Hispanic origin. These findings demonstrate the added importance of EED and racial/ethnic factors being associated with OS in MDS.
Greenberg: Notable Labs: Research Funding.
